理想的な入試問題とは? その統計学的な考察
桜美林大学教授 芳沢光雄
得点分布の山が2つになるように問題を作ると……

統計学はそもそも実社会や自然現象にどのような傾向があるか客観的につかむための道具である。一般的に、その集団を構成する要素の数が多ければ多いほど、「傾向」がはっきりと現れる。現役生の40%以上、50万人を超える受験生が参加するセンター試験は、統計学にふさわしい題材といえる。万人単位でなくても、会社の採用試験や社内の人事配置などビジネスでも応用できるので、きちんと勉強しておいて損はないと思う。
「得点分布」に注目してみよう。マークシート式を中心とした試験問題の点数を集計すると、受験者数が増えるほど「正規分布」と呼ぶ形に近づいていく。正規分布は確率分布の一つで、図1のような富士山のような形をしている。この場合、頂点付近で合否を判定すると、1点違うだけで、かなりの人数の明暗が決まってしまう。「1点刻み」が悪者にされるゆえんである。

では、図2のように得点分布に2つの山ができるようにしたらどうか。山と山の間の人数が少ないところで合否の判定をすれば、1点の違いで涙を流す受験生は少なくなる。ある種、理想の大学入試問題だといえないだろうか。
大学入試に関わる数学関係者の多くはそう考えているように思える。かつて、偉大な業績を残された数学の先生から「芳沢さん、私も2つ山の間の谷で合否が分かれる方がいいと思います」と、話し掛けられたこともあった。実際、入試でそういった形に近づくように問題を考えたこともあるが、受験生の数学に対する理解力の違いを明確に判断することができた。
山を2つにするには、記述式問題にする必要
ただ、得点分布を2つの山のようにするには、数学の入試の場合、記述式の問題でないと難しい。マークシート方式では当てずっぽうや裏技で解答しても一定割合が正解になるため、どうしても山は1つになってしまう。科目によっても事情は異なる。暗記力を問う傾向が強い科目の場合、マークシートでなくても、1つの山になることが多い。
また、大学の入試関係者には「2つの山ができるような数学の問題はおかしい」「富士山の頂付近で入試の合否を決めるのが理想」など山が1つの「正規分布型の得点分布」にこだわる人も少なくない。2つの山にするにはある程度の難問を出す必要もあるが、「1つか2つの難問がたまたま解けたか解けなかったで合否が決まるのは問題」といった理由なのかもしれない。
いずれにしても「1点刻み」のところにあまり焦点を当てても、問題は解決しないと思われる。フィギュアスケートの採点を見るまでもなく、最後には客観的な「数字」に頼って順位を付けることになる。だからこそ、採点に一部で不満が残ることもあるが、滞りなく行われるのである。
入試改革では1点刻みではなく段階別に分けて評価する案も浮上しているが、どこに振り分けるか判断する際、最終的には点数が頼りになるはずだ。ならば、「1点刻み」を問題視するのではなく、試験問題をどう組み立て、どのように採点すれば不公平感が少なくなるか、統計学などの知見を踏まえ、より深く議論したいものである。
採用や人事、マーケティングにも応用できる統計
全受験生を合格・不合格のような2つのグループに分けるとき、「分ける位置」をどのように見つけるかについても、参考にしたい統計学の概念がある。「分散」と「外分散」である。
「分散」は受験でおなじみの「偏差値」などを算出するときなどに使う概念で、個々人の点数など統計データの分布のバラツキ具合を示す(「偏差値」は過去記事「実は知らない『偏差値』 100以上やマイナスも」参照)。

「外分散」は個々人などをある条件でいくつか集団に分けたとき、それぞれの集団ごとの平均のバラツキ具合を示すものである(式は省略)。
この「外分散」を使って、「合格者」と「不合格者」のバラツキ具合が大きくなるように問題や採点を工夫すれば、不公平感が少なくなるなずである。バラツキ具合が大きいということは、「合格者の平均点」と「不合格者の平均点」がそれだけ大きく離れており、両者の違いを明確に判断できるからだ。
「多変量解析」における「判別分析」という手法も役に立つ。「多変量解析」とは複数のデータの相関を調べる手法だ。「判別分析」とは、様々なデータ(入試では得点)でその個体をどのようにグループ分け(合格・不合格など)するとよいかを判別するための方法である。
例えば、複数の科目の入試問題を受ける受験者の合否を判断する場合を考える。「判別分析」は各科目の得点をどのように組み合わせたら「合格者グループ」と「不合格者グループ」に合理的に分けることができるか、数学的に示してくれる。
入試のように、この手法はその人の向き不向きを判断する新卒の採用や人事配置などにも応用できる。マーケティングのデータ解析などに使っている人も多い。
サイコロ投げを繰り返すと「正規分布」に
ここで、「正規分布」について説明しておこう。
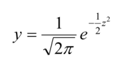
正規分布を表す式とグラフを書くと、標準化(意味は後述)したものは、以下の図3のようになる。eは自然対数の底(=2.718281…)である。


図3で示した正規分布は「標準正規分布」と呼ぶもので、平均が0、標準偏差が1になるようにしたものである。この場合、グラフの曲線とz軸で挟まれた部分の面積が100%を意味する1になっていること、2つの数a、bに対し、a≦z≦bとなる確率がグラフの曲線、z軸、直線z=a、直線z=bで囲まれた部分の面積と一致しているのである。
実際の現象と正規分布は深く関係している。例えば、サイコロを6回投げるとき、3の倍数の目(3または6)が出る回数をXとすれば、次の表になる。
| Xの値 | 0 | 1 | 2 | 3 | 4 | 5 | 6 |
|---|---|---|---|---|---|---|---|
| 確率 | p 0 | p 1 | p 2 | p 3 | p 4 | p 5 | p 6 |

これをグラフで表せば、図4のようになる。

図4は、サイコロを投げる試行回数がたったの6回である。それでも富士山型をした正規分布に似ていることがわかるだろう。この回数を十分に大きくすると、図4のグラフは正規分布のグラフに限りなく近づくのである。
イメージや感情で判断しないためには
上の例を一般化させて言えることは、1回の試行である事象Aの起こる確率がp(0<p<1)であるとき、その試行を独立に何度も繰り返していき、Aが現れる回数をXとして図4に相当するグラフを描くと、それは正規分布に限りになく近づくことである。
これは、正規分布の意義を的確に示しているが、ほかにもその意義を示している重要なものがある。それは「中心極限定理」である。この定理は、「どのような母集団」についても成り立つもので、n個のサンプルの平均の全体からなる分布を考えると、nを大きくするとき、その分布は正規分布に近づくというものである。
例えば、日本の国民の年齢分布は第1次(団塊の世代)、第2次ベビーブーム世代(団塊ジュニア)で多くなっているように凸凹はあるが、例えば国民全体から取り出した20人の平均年齢全体の分布を考えると、それはほぼ正規分布の形をしているのである。
統計学は仕事などに具体的に使えるだけではない。様々な情報が飛び交い、どう判断したらよいか、迷うことがある。よく分からないとイメージや感情で判断してしまいがちだが、統計の素養があれば、より客観的に判断できるようになるだろう。公式や定理を無理に覚える必要はない。統計の基本的な考え方を身につけるだけでも、間違った理屈に振り回されたり、不安になったりすることが少なくなると思う。
理系の高校生でも勉強しない「統計」
残念なことに、理系進学の高校生でも高校数学における統計をきちんと勉強することなく卒業する人が圧倒的に多い。高校の数学教科書にはちゃんと統計学の考え方の説明があるにもかかわらずである。その理由は明らかで、大学入試に統計の問題はほとんど出題されないからである。
大学入試の数学問題を作る立場からすると、統計の問題は出しにくいのである。理由はいくつかあって、大半の高校生が履修していない内容を出題するよりは、三角関数や対数関数や微分積分の問題を出題する方が無難であること、統計の問題では別に数表を必要とする場合が多いことなどが挙げられる。
社会人の高校数学の学びを一つの目的として出版した「新体系・高校数学の教科書(上・下)」(講談社ブルーバックス)の下巻で、統計分野を充実して書いたことは、社会人を意識すれば当然のことであったと振り返る。

1953年東京生まれ。東京理科大学理学部教授(理学研究科教授)を経て、現在、桜美林大学リベラルアーツ学群教授(同志社大学理工学部数理システム学科講師)。理学博士。専門は数学・数学教育。『反「ゆとり教育」奮戦記』(講談社)、『新体系・高校数学の教科書(上・下)』『新体系・中学数学の教科書(上・下)』(ともに講談社ブルーバックス)、『ほんとうに使える数学 基礎編』『ほんとうに使える数学 レベルアップ編』(ともにじっぴコンパクト新書)など著書多数。









